首页
新型电磁电路模拟器可视化辐射现象
返回

新型电磁电路模拟器可视化辐射现象

2022-12-19 科技信息 By:佚名
最佳答案我们日常生活中使用的大多数设备都是通过电力操作和控制的。从安全性和电力的紧张供求的角度来看,满足低电磁噪声和节能的电路设计变得越来越重要。在电路中,电信号在导体内部传输,电磁场在导体外部辐射。此外,电磁场在空气中传播,并转换为自身和其他电路的信号,从而导致电磁噪声。现在,大阪...

我们日常生活中使用的大多数设备都是通过电力操作和控制的。从安全性和电力的紧张供求的角度来看,满足低电磁噪声和节能的电路设计变得越来越重要。

在电路中,电信号在导体内部传输,电磁场在导体外部辐射。此外,电磁场在空气中传播,并转换为自身和其他电路的信号,从而导致电磁噪声。现在,大阪大学的研究团队制定了一种数值方法,以可视化信号如何根据导体的形状传播和辐射,从而使我们能够在电路设计阶段预测电磁噪声的原因。

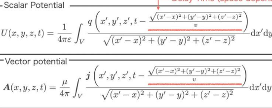
“必须同时计算电信号和外部辐射现象以处理电磁噪声。为此,我们的目标是精确求解标量电势(电势)U和从麦克斯韦方程导出的矢量电势A的延迟积分方程,如图1所示。”第一作者Souma Jinno说。

在传统方法中,如图2所示,延迟时间由不依赖于空间的常数来近似,但是该数值计算是不稳定的。这项研究通过更严格考虑延迟时间的数值计算(离散化)方法实现了数值稳定性。该团队还开发了一种算法,可以同时计算欧姆定律,连续性方程和边界的电路元素(集中参数电路)。

“通过将我们的方法应用于图3所示的电路,并将其与忽略辐射的计算结果进行比较,我们将显示辐射对传导信号的影响,分别用红线和蓝线表示。通过比较这两个结果,我们可以看到有辐射的计算立即被衰减并收敛到零,而没有辐射的计算继续无衰减地振荡,因为假定导体的电阻分量为零,所以没有因传导而造成的损耗。结果,传导信号电流衰减由于外部辐射。衰减指示单个导体不适合,因为广泛的外部辐射的传导的信号。通常,电路 使用两个导体,它们可以传导较少的辐射。” Souma Jinno解释说。

“为了实现可持续发展目标(SDGs),社会正在走向电气化移动。然而,快速电气化等供求紧张的电力和无形的环境造成污染的电磁噪声的潜在问题。使用电磁发达的电路仿真器通过这项研究,我们旨在通过正确处理和消耗电力来进一步降低电路的噪声和功耗,以实现'可持续的电气化社会'。”

猜你喜欢
手机变成砖头(手机变砖是什么意思)

手机变成砖头(手机变砖是什么意思)

12-18 0 阅读
IDC分析师确定哪些智能手机在非洲销售最好

IDC分析师确定哪些智能手机在非洲销售最好

12-18 0 阅读
画龙点睛的意思是(画龙点睛的意思)

画龙点睛的意思是(画龙点睛的意思)

01-22 0 阅读
笔记本键盘变数字键怎么办(笔记本键盘变数字)

笔记本键盘变数字键怎么办(笔记本键盘变数字)

12-18 0 阅读
空集是任何一个集合的真子集?(空集是任何集合的真子集)

空集是任何一个集合的真子集?(空集是任何集合的真子集)

07-23 0 阅读
食品营养与健康论文摘要(食品营养与健康论文)

食品营养与健康论文摘要(食品营养与健康论文)

12-19 0 阅读
热门推荐
手机变成砖头(手机变砖是什么意思)

手机变成砖头(手机变砖是什么意思)

12-18 0 阅读
IDC分析师确定哪些智能手机在非洲销售最好

IDC分析师确定哪些智能手机在非洲销售最好

12-18 0 阅读
画龙点睛的意思是(画龙点睛的意思)

画龙点睛的意思是(画龙点睛的意思)

01-22 0 阅读
笔记本键盘变数字键怎么办(笔记本键盘变数字)

笔记本键盘变数字键怎么办(笔记本键盘变数字)

12-18 0 阅读
空集是任何一个集合的真子集?(空集是任何集合的真子集)

空集是任何一个集合的真子集?(空集是任何集合的真子集)

07-23 0 阅读
食品营养与健康论文摘要(食品营养与健康论文)

食品营养与健康论文摘要(食品营养与健康论文)

12-19 0 阅读
为什么tinder一直收不到验证码(tinder收不到验证码)

为什么tinder一直收不到验证码(tinder收不到验证码)

12-18 0 阅读
去除痘痘怎么有效果(王者荣耀女英雄衣服被p光)

去除痘痘怎么有效果(王者荣耀女英雄衣服被p光)

06-21 0 阅读
芙蓉王妃(关于芙蓉王妃的介绍)

芙蓉王妃(关于芙蓉王妃的介绍)

12-19 0 阅读
市政中级工程师证有什么用(中级工程师证有什么用)

市政中级工程师证有什么用(中级工程师证有什么用)

12-18 0 阅读